¡¡¡¡¼ÓËÙÂʼƣ¨Accelerometer£©ÊÇÒ»ÖÖ´«¸ÐÆ÷£¬£¬£¬£¬£¬£¬£¬¹ËÃû˼Ò壬£¬£¬£¬£¬£¬£¬ËüÄܹ»¼ì²âÎïÌåµÄ¼ÓËÙÂÊ£¬£¬£¬£¬£¬£¬£¬»òÕß˵£¬£¬£¬£¬£¬£¬£¬ËüÄܹ»¼ì²âÎïÌåÔÚÒ»¶Îʱ¼äÄÚÎ»ÒÆËÙÂʵÄת±ä¡£¡£¡£¡£¡£¡£¡£¼ÓËÙÂÊ´«¸ÐÆ÷ÊÖÒÕÒѾÆÕ±éÓ¦ÓÃÓÚº½¿Õ¡¢Æû³µ¡¢»úе¡¢ÐÞ½¨µÈÁìÓò£¬£¬£¬£¬£¬£¬£¬ÈôÊÇÄãÕýÔÚʹÓÃÊÖ»úä¯ÀÀÕâÆªÎÄÕ£¬£¬£¬£¬£¬£¬£¬ÄÇôÄãµÄÊÖÖоÍÓÐÒ»¸ö¼ÓËÙÂʼơ£¡£¡£¡£¡£¡£¡£
¡¡¡¡Í¼1£¨Í¼Ô´ÍøÂ磩
¡¡¡¡
ACCÊý¾Ý£¨Accelerometer Data£©ÊÇָͨ¹ýÈýÖá¼ÓËÙÂʼÆÕÉÁ¿µÄÔʼ¼ÓËÙÂÊÖµ¡£¡£¡£¡£¡£¡£¡£ËüÌṩÁËÎïÌåÔÚ²î±ðʱ¼äµãÉÏÔÚÈý¸öÖᣨÈçX¡¢YºÍZÖᣩÉϵļÓËÙÂÊת±äÐÅÏ¢¡£¡£¡£¡£¡£¡£¡£
¡¡¡¡
ODBA£¨Overall Dynamic Body Acceleration£©ÊǶ¯ÎïµÄÕûÌ嶯̬¼ÓËÙÂÊ£¬£¬£¬£¬£¬£¬£¬ÊÇͨ¹ý¶ÔACCÊý¾Ý¾ÙÐд¦Öóͷ£ºÍÅÌËãµÃ³öµÄÒ»¸öÖ¸±ê¡£¡£¡£¡£¡£¡£¡£
¡¡¡¡Í¨¹ý»ñÈ¡Ô˶¯¼ÓËÙÂÊÔʼÊý¾Ý£¬£¬£¬£¬£¬£¬£¬²¢´ÓÖлñÈ¡ÌØÕ÷Êý¾Ý£¬£¬£¬£¬£¬£¬£¬¿ÉÒÔ¶Ô¶¯Îï¸öÌåÔ˶¯Ä£Ê½¡¢ÐÐΪÔ˶¯ºÍ×Ë̬µÈ¾ÙÐÐʶ±ðÆÊÎö¡£¡£¡£¡£¡£¡£¡£ÕâÖÖ·½·¨»ñÈ¡Êý¾Ý±ãµ±¡¢²»Ò×Êܵ½ÇéÐÎ×ÌÈÅ£¬£¬£¬£¬£¬£¬£¬ÕýÆÕ±éÓ¦ÓÃÓÚÉú̬ѧÑо¿ÒÔ¼°¶¯ÎïÐÐΪģʽÆÊÎöµÈÁìÓò¡£¡£¡£¡£¡£¡£¡£
¡¡¡¡Í¼2-°Ä´óÀûÑǰ¢µÂÀ³µÂ´óѧÈëÇÖ¿ÆÑ§ÓëÒ°Éú¶¯ÎïÉú̬ѧʵÑéÊÒJack TatlerÑо¿×éʹÓÃODBAÊý¾ÝÑо¿ÇéÐÎζÈÓëÒ°¹·ÐÐΪ֮¼äµÄ¹ØÁª
¡¡
¡¡Ò»¡¢ACC´«¸ÐÆ÷¸³ÄÜÒ°Éú¶¯Îï¼à²â
¡¡¡¡£¡£¡£¡£¡£¡£¡£¨1£©
¶¯ÎïÐÐΪģʽÆÊÎö£ºÍ¨Ì«¹ýÎöACCÊý¾ÝºÍODBA£¬£¬£¬£¬£¬£¬£¬¿ÉÒÔÖØÐÞºÍÐÎò¶¯ÎïµÄÔ˶¯ºÍÐÐΪģʽ£¬£¬£¬£¬£¬£¬£¬³ýÁËͨÀýµÄλÖÃÊý¾ÝÍ⣬£¬£¬£¬£¬£¬£¬»¹¿ÉÒÔÍøÂçÒ»Á¬ÐÐΪÊý¾Ý¡£¡£¡£¡£¡£¡£¡£Õâ¿ÉÒÔ×ÊÖúÏàʶ¶¯ÎïµÄÔ˶¯¹æÄ£¡¢Ô˶¯·½·¨ºÍÐÐÎªÌØÕ÷¡£¡£¡£¡£¡£¡£¡£
¡¡¡¡£¡£¡£¡£¡£¡£¡£¨2£©ÄÜÁ¿ÏûºÄºÍÔ˶¯Ç¿¶ÈÆÀ¹À£ºODBA¿ÉÒÔ×÷ΪȨºâ¶¯ÎïÄÜÁ¿ÏûºÄºÍÔ˶¯Ç¿¶ÈµÄÖ¸±ê¡£¡£¡£¡£¡£¡£¡£Í¨Ì«¹ýÎöODBAÊý¾Ý£¬£¬£¬£¬£¬£¬£¬¿ÉÒÔÆÀ¹À¶¯ÎïµÄÄÜÁ¿ÐèÇó¡¢ÐÐΪÔ˶¯Ë®Æ½ºÍÔ˶¯Ç¿¶È¡£¡£¡£¡£¡£¡£¡£
¡¡¡¡Í¼2-ºòÄñǨáã£¨Í¼Ô´ÍøÂ磩
¡¡¡¡£¡£¡£¡£¡£¡£¡£¨3£©
Éú̬ѧÑо¿£ºACCÊý¾ÝºÍODBA¿ÉÒÔÓÃÓÚÉú̬ѧÑо¿ÖУ¬£¬£¬£¬£¬£¬£¬ÀýÈçÏàʶ¶¯ÎïµÄÐÐΪģʽ¡¢ÐÐΪ½ÚÂÉ¡£¡£¡£¡£¡£¡£¡£Í¨Ì«¹ýÎö¶¯ÎïµÄ¼ÓËÙÂÊģʽºÍÕûÌ嶯̬¼ÓËÙÂÊ£¬£¬£¬£¬£¬£¬£¬¿ÉÒÔÕ¹ÏÖ¶¯Îï¶ÔÇéÐÎת±äµÄÏìÓ¦ºÍ˳ӦսÂÔ¡£¡£¡£¡£¡£¡£¡£
¡¡¡¡£¡£¡£¡£¡£¡£¡£¨4£©
¶¯ÎïÐÐΪÓ뿵½¡×´Ì¬¹ØÁªÆÊÎö£ºACCÊý¾ÝºÍODBA»¹¿ÉÒÔÓÃÓÚÑо¿¶¯ÎïÐÐΪÓëÆä¿µ½¡×´Ì¬Ö®¼äµÄ¹ØÁª¡£¡£¡£¡£¡£¡£¡£Í¨¹ýÏà¹ØÊý¾Ý£¬£¬£¬£¬£¬£¬£¬¿ÉÒÔ¼ì²â¶¯ÎïµÄÒì³£ÐÐΪģʽ¡¢Ó¦¼¤Ë®Æ½ºÍ¼²²¡×´Ì¬¡£¡£¡£¡£¡£¡£¡£
¡¡¡¡£¡£¡£¡£¡£¡£¡£¨5£©
¶¯ÎïµÄÇéÐÎÐèÇóÆÀ¹À£ºÔÚ´ó´ó¶¼Ñо¿ÖУ¬£¬£¬£¬£¬£¬£¬¼ÒÓòͨ³£ÊÇÆ¾Ö¤¶¯ÎïËæÊ±¼äÍÆÒÆµÄµØÀíλÖÃÀ´Ô¤¼ÆµÄ¡£¡£¡£¡£¡£¡£¡£¶øACCÊý¾ÝÄÜΪ¶¯ÎïµÄÇéÐÎÐèÇóÆÀ¹ÀÌṩ¸ü¶àDZÔÚÖ¸±ê£¬£¬£¬£¬£¬£¬£¬ºÃ±ÈÄÜÁ¿ÏûºÄ¡¢¾ºÕùµÄDZÁ¦µÈ£¬£¬£¬£¬£¬£¬£¬ËµÃ÷¶¯ÎïÔõÑùʹÓÃËüÃÇµÄÆÜÏ¢µØÀ´Öª×ãÐèÇ󡣡£¡£¡£¡£¡£¡£
¡¡¡¡
¶þ¡¢»ùÓÚ¼ÓËÙÂÊ´«¸ÐÆ÷µÄÒ°Éú¶¯Îï¼à²â½â¾ö¼Æ»®
¡¡¡¡¾ÅÖÝkuÓιÙÍøÌṩµÄ»ùÓÚ¼ÓËÙÂÊ´«¸ÐÆ÷µÄÒ°Éú¶¯Îï¼à²â½â¾ö¼Æ»®£¬£¬£¬£¬£¬£¬£¬°üÀ¨´îÔØ¼ÓËÙÂÊ´«¸ÐÆ÷µÄÎÀÐÇ×·×ÙÆ÷¡¢Êý¾ÝÖÐÐļ°Êý¾Ý·þÎñƽ̨Èý¸ö²¿·Ö¡£¡£¡£¡£¡£¡£¡£Í¨¹ý±±¶·ÎÀÐǶ¨Î»¼°¼ÓËÙÂÊ´«¸ÐÆ÷ʵÏÖ¶Ô¶¯Îï¸öÌåλÖÃÓëÔ˶¯µÄʵʱ¼à²â£¬£¬£¬£¬£¬£¬£¬Îª¶¯ÎïÐÐΪģʽÆÊÎö¡¢ÄÜÁ¿ÏûºÄºÍÔ˶¯Ç¿¶ÈÆÀ¹ÀµÈÌṩÊÖÒÕÖ§³Ö¡£¡£¡£¡£¡£¡£¡£
¡¡¡¡Í¼3-Åå´ø¾ÅÖÝkuÓιÙÍø×·×ÙÆ÷µÄ»·¾±ûa
¡¡¡¡£¡£¡£¡£¡£¡£¡£¨Í¼Æ¬ÈªÔ´£ºÖÐɽ´óѧÁõÑôÍŶӣ©
¡¡¡¡£¡£¡£¡£¡£¡£¡£¨Ò»£©´îÔØ¼ÓËÙÂÊ´«¸ÐÆ÷µÄÎÀÐÇ×·×ÙÆ÷
¡¡¡¡×·×ÙÆ÷½ÓÄɱ±¶·ÎÀÐÇÈ«Çò¶¨Î»£¬£¬£¬£¬£¬£¬£¬¾«¶È×î¸ß¿É´ï1Ãס£¡£¡£¡£¡£¡£¡£VHFÊý¾Ý»Ø´«×°±¸ÖØÁ¿µÍÖÁ1.2g£»£»£»£»£»£»£»£»2G/4G/5GÊý¾Ý»Ø´«×°±¸ÖØÁ¿×îÇá2.5g£¬£¬£¬£¬£¬£¬£¬Ö§³Ö¹ú¼ÊÖÜÓΣ¬£¬£¬£¬£¬£¬£¬Ë³Ó¦È«Çò¹æÄ£ÊÂÇé¡£¡£¡£¡£¡£¡£¡£×°±¸¿ÉÊÕÂÞ¶àάÊý¾Ý£¬£¬£¬£¬£¬£¬£¬°üÀ¨¾¶È¡¢Î³¶È¡¢¸ß¶È¡¢ËÙÂÊ¡¢ACC£¨ÈýÖáÔʼ¼ÓËÙÂÊ£©¡¢ODBA¡¢º½Ïò¡¢Î¶ȡ¢Ô˶¯Á¿¡¢Ë®Æ½¾«¶ÈÒò×Ó£¨HDOP£©¡¢±ÊÖ±¾«¶ÈÒò×Ó£¨VDOP£©µÈ¡£¡£¡£¡£¡£¡£¡£
¡¡¡¡´îÔØ¼ÓËÙÂÊ´«¸ÐÆ÷ºó£¬£¬£¬£¬£¬£¬£¬¿Éƾ֤Óû§ÐèÇóÉèÖÃÊÕÂÞÆµÂÊ£¬£¬£¬£¬£¬£¬£¬ÎªÓû§ÌṩACCÊý¾Ý£¨ÈýÖáÔʼ¼ÓËÙÂÊ£©£¬£¬£¬£¬£¬£¬£¬Ò»Á¬¼à²â4S£¨20Hz£©»ò8S£¨10Hz£©£¬£¬£¬£¬£¬£¬£¬ÊÕÂÞ¾àÀëµÍÖÁÊ®·ÖÖÓ£¬£¬£¬£¬£¬£¬£¬¸³ÄÜÒ°Éú¶¯ÎïÐÐΪ¼à²â¡£¡£¡£¡£¡£¡£¡£
¡¡¡¡£¨ÕÛÏßͼȪԴ£º¾ÅÖÝkuÓιÙÍøÊý¾Ý·þÎñƽ̨£¬£¬£¬£¬£¬£¬£¬²åͼȪԴ£ºÍøÂ磩
¡¡¡¡£¡£¡£¡£¡£¡£¡£¨¶þ£©Êý¾ÝÖÐÐÄ
¡¡¡¡¾ÅÖÝkuÓιÙÍøÊý¾Ý»ú·¿µÖ´ïµçÐÅÇå¾²¼¶±ð£¬£¬£¬£¬£¬£¬£¬È«Ììºòʵʱ¼à¿Ø¡£¡£¡£¡£¡£¡£¡£Êý¾ÝÖÐÐĽÓÄÉÑÏ¿áµÄ»á¼û¿ØÖÆ£¬£¬£¬£¬£¬£¬£¬È·±£Ö»ÓоÓÉÊÚȨµÄÓû§²Å»ª¹»»á¼ûÊý¾Ý£»£»£»£»£»£»£»£»½ÓÄÉÈßÓà·þÎñÆ÷¼Ü¹¹ºÍ´ÅÅÌÈȱ¸ÊÖÒÕ£¬£¬£¬£¬£¬£¬£¬È·±£ÏµÍ³ÎȹÌÐÔºÍÊý¾ÝÓÀÊÀ´æ´¢¡£¡£¡£¡£¡£¡£¡£°ü¹ÜÊý¾ÝÇå¾²¡¢Óû§ÎÞÓÇ¡£¡£¡£¡£¡£¡£¡£
¡¡¡¡£¡£¡£¡£¡£¡£¡£¨Èý£©Êý¾Ý·þÎñƽ̨
¡¡¡¡¾ÅÖÝkuÓιÙÍøÊý¾Ý·þÎñƽ̨ÊÇ»ñÈ¡¡¢¹ÜÀíºÍÆÊÎö¶¯Îï¸öÌå¼à²âÊý¾ÝµÄ×ÛºÏÐÔÆ½Ì¨£¬£¬£¬£¬£¬£¬£¬Ö§³ÖWindows¡¢Android¡¢IOSµÈ²Ù×÷ϵͳ£¬£¬£¬£¬£¬£¬£¬°üÀ¨×ÀÃæ¶Ë¡¢Web¶ËºÍÒÆ¶¯¶Ë3ÖÖÀàÐÍ£¬£¬£¬£¬£¬£¬£¬Îª¿Í»§ÉîÈëÏàʶ¶¯ÎïµÄµØÀíλÖá¢ÐÐΪϰÐÔ¡¢ÆÜÏ¢ÇéÐμ°Ïà¹ØÉú̬ѧÆÊÎöÌṩÊý¾ÝÖ§³Ö¡£¡£¡£¡£¡£¡£¡£
¡¡¡¡Í¼4-ÒÆ¶¯¶ËÊý¾Ýƽ̨µÇ¼½çÃæ

¡¡¡¡Í¼5-×ÀÃæ¶ËÊý¾Ýƽ̨µÇ¼½çÃæ

¡¡¡¡Í¼6-Web¶ËÊý¾Ýƽ̨µÇ¼½çÃæ
¡¡¡¡Òƶ¯¶ËÊý¾Ýƽ̨¾ßÓÐÐÐΪ¼à²â¹¦Ð§£¬£¬£¬£¬£¬£¬£¬ÎªÓû§¾ÙÐÐÒ°ÍâÊÓ²ìÌṩ¸¨Öú¹¤¾ß£¬£¬£¬£¬£¬£¬£¬¼Í¼¶¯Îï¸öÌåÐÐΪ£¬£¬£¬£¬£¬£¬£¬²¢½«ÊӲ쵽µÄ¸öÌåÐÐΪÓëÔʼACCÊý¾Ý¾ÙÐÐÆ¥Å䣬£¬£¬£¬£¬£¬£¬ÓÃÓÚºóÐøÑо¿ÆÊÎö¡£¡£¡£¡£¡£¡£¡£
¡¡¡¡Í¼7¡¢8-ÒÆ¶¯¶ËÐÐΪ¼à²â¹¦Ð§½çÃæ
¡¡¡¡±ðµÄ£¬£¬£¬£¬£¬£¬£¬¾ÅÖÝkuÓιÙÍøÊý¾Ý·þÎñƽ̨һֱÓÅ»¯£¬£¬£¬£¬£¬£¬£¬Æ¾Ö¤Óû§µÄÐèÇóºÍ·´Ï죬£¬£¬£¬£¬£¬£¬°´ÆÚ¸üкÍÉý¼¶ÐÔÄÜ£¬£¬£¬£¬£¬£¬£¬Îª¿ÆÑ§Ñо¿ÌṩÓÅÖÊÊÖÒÕÖ§³Ö¡£¡£¡£¡£¡£¡£¡£
¡¡¡¡Èý¡¢Ïà¹ØÑо¿
¡¡¡¡°Ä´óÀûÑǰ¢µÂÀ³µÂ´óѧÈëÇÖ¿ÆÑ§ÓëÒ°Éú¶¯ÎïÉú̬ѧʵÑéÊÒJack TatlerÑо¿×éÔÚ¡¶Movement Ecology¡·½ÒÏþÎÄÕ£¨Tatler et al.2021£©£¬£¬£¬£¬£¬£¬£¬¸ÃƪÎÄÕÂʹÓÃÈýÖá¼ÓËÙÂʼƣ¨ACC£©ºÍGPSÊý¾Ý£¬£¬£¬£¬£¬£¬£¬¶Ô°Ä´óÀûÑÇÖв¿×ÔÓÉ·ÅÑøµÄÒ°¹·µÄÄÜÁ¿ÏûºÄºÍÔ˶¯Ä£Ê½¾ÙÐÐʱ¿ÕÆÊÎö¡£¡£¡£¡£¡£¡£¡£Í¨¹ýÄ£ÄâODBA×÷ΪÖçÒ¹ÇéÐÎζȵĺ¯ÊýÀ´²âÊÔÒ°¹·ÊÇ·ñÔÚÐÐΪÉϾÙÐÐÌåε÷Àí¡£¡£¡£¡£¡£¡£¡£
¡¡¡¡Í¼9
¡¡¡¡Í¼Æ¬ÈªÔ´£ºMovement Ecology
¡¡¡¡Ñо¿ÓÚ2016Äê4ÔÂÖÁ2018Äê5ÔÂÔÚ¿¨ÀÄÂÀïÄÉÒ°Éú¶¯Îï±£»£»£»£»£»£»£»£»¤Çø¿ªÕ¹¡£¡£¡£¡£¡£¡£¡£¸ÃµØÇøÌìÆø¸Éºµ£¬£¬£¬£¬£¬£¬£¬Äê½µÓêÁ¿ÖÐλÊýΪ133.5ºÁÃ×£¬£¬£¬£¬£¬£¬£¬ÏÄÈÕºÜÊÇÑ×ÈÈ£¬£¬£¬£¬£¬£¬£¬¶¬¼¾ÎÂ˳£¬£¬£¬£¬£¬£¬£¬ÈÕÆ½¾ùÆøÎÂÔÚ×îÈÈÔ·ÝΪ23¡ãC-38¡ãC£¬£¬£¬£¬£¬£¬£¬×îÀäÔ·ÝΪ6¡ãC-20¡ãC£¨ÏÂÖçÈýµã×óÓÒÊÇÒ»ÌìÖÐ×îÈȵÄʱ¼ä£©¡£¡£¡£¡£¡£¡£¡£Ñо¿×éΪ19Ö»°ÄÖÞÒ°¹·×°ÖÃÁËACC-GPSÏîȦ׷×ÙÆ÷£¬£¬£¬£¬£¬£¬£¬ÕâЩÏîȦÅ䱸ÁËÈýÖá¼ÓËÙÂʼơ£¡£¡£¡£¡£¡£¡£×îÖÕÁù¸öÏîȦͨ¹ý´¥·¢µôÂä»úÖÆ½ÓÄÉ£¬£¬£¬£¬£¬£¬£¬Ò»¸öÏîȦͨ¹ýÖØÐÂÓÕ²¶½ÓÄÉ¡£¡£¡£¡£¡£¡£¡£¹ØÓÚ´ÓÆßÖ»Ò°¹·ÉíÉÏÕһصÄACCºÍGPSÊý¾Ý£¬£¬£¬£¬£¬£¬£¬Ñо¿×齫ÔʼACCÊý¾Ý´Ó×î¸ßºÍ×îµÍÇ¿¶ÈµÄ¾ÙÐÐÐÐΪ·Ö×飬£¬£¬£¬£¬£¬£¬½«Ò°¹·µÄACCÊý¾Ý·ÖÀàΪÎåÖÖÐÐΪ£¬£¬£¬£¬£¬£¬£¬²¢½«ÌÉ×Å¡¢Õ¾Á¢ºÍ×ø×ŵÄÐÐÎªÖØÐ±ê¼ÇΪ¡°¾²Ö¹¡±£¬£¬£¬£¬£¬£¬£¬ÓÉÓÚÕâЩÐÐΪʮ·ÖÏàËÆ£¬£¬£¬£¬£¬£¬£¬ËüÃDz»Ì«¿ÉÄÜÔÚÄÜÁ¿ÏûºÄÉϲî±ð¡£¡£¡£¡£¡£¡£¡££¨¼û±í1£©
¡¡¡¡±í1-Ëæ»úÉÁÖÄ£×ÓÔÚÕ¹Íû13ÖÖ²î±ðÐÐΪÓë·Ö×éÐÐΪʱµÄÌåÏÖ
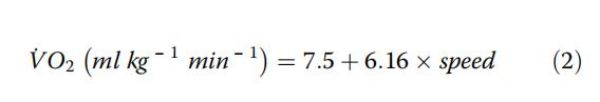
¡¡¡¡¹ØÓÚ¾²Ï¢´úлÂÊ£¨ÊÊÓÃÓÚËùÓо²Ö¹ÐÐΪ£©£¬£¬£¬£¬£¬£¬£¬Ñо¿×éʹÓÃShieldÍøÂçµÄ°ÄÖÞÒ°¹·µÄºÄÑõÁ¿Êý¾Ý£¬£¬£¬£¬£¬£¬£¬²¢
¡¡¡¡ÍƳöEq.1¹«Ê½¡£¡£¡£¡£¡£¡£¡£¹ØÓÚ²½ÐкÍÅܲ½ÐÐΪ£¬£¬£¬£¬£¬£¬£¬Ê¹ÓÃBryceºÍWilliamsµÄ¹«Ê½£¨Eq.2£©ÅÌËãÄÜÁ¿ÏûºÄ£¬£¬£¬£¬£¬£¬£¬¼ÙÉèÆ½¾ùËÙÂÊΪ²½ÐÐ1.985ms-1£¬£¬£¬£¬£¬£¬£¬Åܲ½Îª4.96ms-1¡£¡£¡£¡£¡£¡£¡£²¢¾Ý´ËµÃ³ö±í2¡£¡£¡£¡£¡£¡£¡£
¡¡¡¡±í2-ÔÚ¿¨ÀÄÂÀïÄÉÅ䱸ACC-GPSÏîȦµÄ7Ö»Ò°¹·µÄÊôÐÔ

¡¡¡¡ÎªÁËÑо¿¿¨ÀÄÂÀïÄÉÒ°¹·µÄÒ»Ñùƽ³£»£»£»£»£»£»£»£Ô˶¯Ä£Ê½£¬£¬£¬£¬£¬£¬£¬Ñо¿×éʹÓÃRÈí¼þ°ü¡°mgcv¡±¹¹½¨ÁËÁ½¸ö¹ãÒå¼ÓÐÔÄ£×Ó£¨GAMs£©¡£¡£¡£¡£¡£¡£¡£µÚÒ»¸öÔ˶¯Ä£×ÓÆÀ¹ÀÁËÒÆ¶¯¾àÀ루һÁ¬15·ÖÖÓGPSλÖÃÖ®¼ä£©×÷ΪһÌìÖÐСʱ£¨0-23£©µÄº¯Êý¡£¡£¡£¡£¡£¡£¡£ÀàËÆµØ£¬£¬£¬£¬£¬£¬£¬µÚ¶þ¸öÔ˶¯Ä£×Ó½«ODBA£¨ÔÚ¾àÀëÕÉÁ¿µÄÏàͬ15·ÖÖÓʱ´úµÄƽ¾ùÖµ£©×÷ΪСʱµÄº¯Êý¾ÙÐÐÆÀ¹À¡£¡£¡£¡£¡£¡£¡£ÔÚ¾ÙÐÐͳ¼ÆÆÊÎö֮ǰ£¬£¬£¬£¬£¬£¬£¬¶ÔÁ½¸ö·´Ó¦±äÁ¿¾ÙÐÐÁ˱ê×¼»¯¡£¡£¡£¡£¡£¡£¡£GAMs½ÓÄÉÑ»·Èý´Î»Ø¹éÑùÌõºÍ20½ÚÄâºÏ¡£¡£¡£¡£¡£¡£¡£³ý´ËÖ®Í⻹¾ÙÐÐÁËÆ¤¶ûÑ·Ïà¹ØÐÔÄ¥Á·£¬£¬£¬£¬£¬£¬£¬ÒÔÄ¥Á·ÏìÓ¦±äÁ¿Ö®¼äÏà¹ØÐÔµÄÇ¿¶ÈºÍÆ«Ïò¡£¡£¡£¡£¡£¡£¡£
¡¡¡¡Ñо¿Ð§¹ûÅú×¢£¬£¬£¬£¬£¬£¬£¬ÇéÐÎζȿÉÄÜ»áÓ°ÏìÒ°¹·µÄÐÐΪ£¬£¬£¬£¬£¬£¬£¬°×ÌìÒ°¹·Ô˶¯(ODBA)ÓëÇéÐÎζȳʸºÏà¹Ø£¬£¬£¬£¬£¬£¬£¬ÕâÒâζ×ÅÌ«Ñô·øÉäµÄ¸ßÈÈÁ¿ÔöÒæ¿ÉÄÜÊÇÏÞÖÆ¸ÉºµÇéÐÎÖÐÒ°¹·°×ÌìÔ˶¯µÄÒ»¸öÒòËØ¡£¡£¡£¡£¡£¡£¡££¨¼ûͼ10£©
¡¡¡¡Í¼10-Ò°¹·£¨n=7£©ÔÚ°×Ì죨ͼA£©»òÒ¹¼ä£¨Í¼B£©µÄÇéÐÎζÈÏÂÕ¹ÍûODBAÖµ
¡¡¡¡£¡£¡£¡£¡£¡£¡£¨95%ÖÃÐÅÇø¼äÓûÒÉ«ÒõÓ°ÌåÏÖ£©
¡¡¡¡
²Î¿¼ÎÄÏ×
¡¡¡¡Tatler,J.,Currie,S.E.,Cassey,P.et al.Accelerometer informed time-energy budgets reveal the importance of temperature to the activity of a wild,arid zone canid.Mov Ecol 9,11(2021).